Writeup in 2022CryptoCTF

hash_hash

It’s my first time to participate CCTF. Finally I got 1218 points and rank 30. During CCTF, I learned some tricks and gained many new view.

I will choose to record some meaningful challenges which I have solved or are still puzzling

BTW , it’s my first time to write solution in English , it can be lame. But it did a opportunity to know terminology.

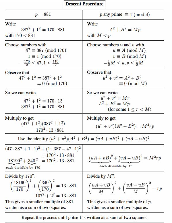
SOTS

A classical math problem. Maybe called Sum of Gauss squares. I always use it during the math competition to prove some proposition. But I haven’t thought how to find it. I just search some algorithm named Fermat reduced order method and achieve it.

1
2
3
4
5
6
7
8
9
10
11
12
13
14
15
16
17
18
19
20
21
22
23
24
25
26
27
28
29
30
31
32
33
34
35
36
37
38
39
40
41
42
43
44
import random
n=2076404368738342225663114052301802417814286369156942765753400865872024253
p=1872032952276373491266413
q=1077425514328313332690477
r=1029464059232560561627253
def facp(p):
b=1
r=random.randrange(0,p-3)+2
x=(p-1)//4
pm=pow(r,x,p)
while pm**2%p!=p-1:
r=random.randrange(0,p-2)+1
pm=pow(r,x,p)
a=pm
s=a**2+b**2
while s!=p:
M=s//p
k=M//2
u=a%M
v=b%M
if u>k:
u=M-u
if v>k:
v=M-v
if (u*a+v*b)%M:
tmp=a
a=b
b=tmp
y=(u*a+v*b)//M
z=(v*a-u*b)//M
s=y**2+z**2
a=y
b=z
return a,b

a1,b1=facp(p)
a2,b2=facp(q)
a3,b3=facp(r)
uu=(a1*a2+b1*b2)
vv=(a1*b2-b1*a2)
u=uu*a3+vv*b3
v=uu*b3-vv*a3
print(u)
print(v)

sagemath have relevant function to solve it

1
2
p=1872032952276373491266413
print(two_squares(p))

A higher point is factor n in , I try it in sage but fail

Diploma

A problem about GL(n)’s order. I’ve seen this problem before. In a paper I get answer . But sage still have relative func M.multiplicative_order()

The interaction is painful

1
2
3
4
5
6
7
8
9
10
11
12
13
14
15
16
17
18
19
20
21
22
23
24
25
26
from pwn import *
from sage.all import *
context(log_level='debug')
io=remote('08.cr.yp.toc.tf',37313)
p=127

while True:
io.recvuntil('M = \n')
M=[]
while True:
tmp=''
re=io.recvuntil('\n')[:-1]
if b'matrix M:' in re:
break
tmp+=chr(re[0])
for i in range(1,len(re)):
if i>2 and re[i]==32:
if tmp[len(tmp)-1]!=',' and tmp[len(tmp)-1]!=']':
tmp+=','
else:
tmp+=chr(re[i])
print(tmp)
M.append(eval(tmp))
M=Matrix(GF(p),M)
order=M.multiplicative_order()
io.sendline(str(order))

Starter ECC

this challenge is to solve with

I solve it using the same idea in SEECTF(DLP) just like a lifting theorem

1
2
3
4
5
6
7
8
9
10
11
12
13
14
15
16
17
18
19
20
21
22
23
24
25
26
27
28
29
30
31
32
33
34
35
36
37
38
39
40
41
42
43
44
45
46
47
48
49
50
import gmpy2
def recover2(t,w):
cofs=[]
PR.<x>=PolynomialRing(Zmod(2))
f=x^2-t
root=f.roots()[0][0]
cofs.append(int(root))
tmp=int(root)
cofs.append(1)
tmp+=2
for i in range(4,w+1):
cof=((t-tmp^2)*gmpy2.invert(tmp,2^i)%2^i)//2^(i-1)
cofs.append(cof)
tmp+=cof*2^(i-2)
cofs.append(1)
re=0
for i in range(w):
re+=cofs[i]*2^i
return re

def recover(t,p,w,i):
cofs=[]
PR.<x>=PolynomialRing(Zmod(p))
f=x^2-t
root=f.roots()[i][0]
cofs.append(int(root))
tmp=int(root)
for i in range(2,w+1):
cof=((t-tmp^2)*gmpy2.invert(2*tmp,p^i)%p^i)//p^(i-1)
cofs.append(cof)
tmp+=cof*p^(i-1)
re=0
for i in range(w):
re+=cofs[i]*p^i
return re


xx = 10715086071862673209484250490600018105614048117055336074437503883703510511249361224931983788156958581275946729175531468251871452856923140435984577574698574803934567774824230985421074605062371141877954182153046477020617917601884853827611232355455223966039590143622792803800879186033924150173912925208583
a = 31337
b = 66826418568487077181425396984743905464189470072466833884636947306507380342362386488703702812673327367379386970252278963682939080502468506452884260534949120967338532068983307061363686987539408216644249718950365322078643067666802845720939111758309026343239779555536517718292754561631504560989926785152983649035
p1=2
p2=690712633549859897233
p3= 651132262883189171676209466993073
n=117224988229627436482659673624324558461989737163733991529810987781450160688540001366778824245275287757373389887319739241684244545745583212512813949172078079042775825145312900017512660931667853567060810331541927568102860039898116182248597291899498790518105909390331098630690977858767670061026931938152924839936
t=(xx^3+a*xx+b)%n
y1=recover2(t,63)
y2=recover(t,p2,6,1)
y3=recover(t,p3,5,1)
m=crt([y1,y2,y3],[p1^63,p2^6,p3^5])
print(bytes.fromhex(hex(m)[2:]))

another way is to use p-adic. It’s easy beacause sage have some module. But I don’t know much about it.

can use it like this

1
2
3
4
5
t=93537210270650150510202879113948342209471088325309071397356033881709266017880457869963986668043867063176965473274592196316442
p=690712633549859897233
s=ZZ(Qp(p)(t).sqrt())%p^6
assert pow(s,2,p^6)==t
print(s)

Oak Land

A interesting challenge. I do it but fail to observe the special data.

It looks like multiple element dlp, but you can simply it by build connection between variable. Finally it’s just need solve a low degree equation.

1
2
3
4
5
6
7
8
9
10
11
12
13
14
15
16
17
18
19
20
p = 7389313481223384214994762619823300589978423075857540712007981373887018860174846208000957230283669342186460652521580595183523706412588695116906905718440770776239313669678685198683933547601793742596023475603667
e = 31337
f = 7236042467316654159796543399639966340258093274047941788600980451877044636122969830708918356119442228154447395855689559447196348683125675305629837437591088260218138895919514078948650757100432223219969122629790
g = 1878626136321051642174045874618248475160620873585704351202865003185878331837410979441756843820270907300810543618813757245154196050399357659526631164136221434463496532263979506870318259276669412698827040743576
c=871346503375040565701864845493751233877009611275883500035764036792906970084258238763963152627486758242101207127598485219754255161617890137664012548226251138485059295263306930653899766537171223837761341914356
Fp=GF(p)
e=Fp(e)
f=Fp(f)
g=Fp(g)
t1=int(f.log(e))
t2=int(g.log(e))
#print(p)
#print(t1)
#print(t2)
PR.<x>=PolynomialRing(Zmod(p))
f=110*x^3-c*x^2+313*x+114
cc=f.roots()[0][0]
cc=Fp(cc)
m=cc.log(e)
print(bytes.fromhex(hex(int(m))[2:]))

Infinity Castle

diamond(n) is , triage(n) is , TaylorSeries is the Taylor expansion of the square root of x

You can emtimate summarize’s result by integral. Because we don’t need exact value of key. So do it by estimating is feasible

1
2
3
4
5
6
7
8
9
10
11
12
13
14
15
16
17
18
19
20
21
22
23
24
25
26
from math import isqrt
import gmpy2
from Crypto.Util.number import *

def xor(cip, key):
repeation = 1 + (len(cip) // len(key))
key = key * repeation
key = key[:len(cip)]

msg = bytes([c ^ k for c, k in zip(cip, key)])
return msg

c0 = 194487778980461745865921475300460852453586088781074246328543689440168930873549359227127363759885970436167330043371627413542337857082400024590112412164095470165662281502211335756288082198009158469871465280749846525326701136380764079685636158337203211609233704905784093776008350120607841177268965738426317288541638374141671346404729428158104872411498098187946543666987926130124245185069569476433120128275581891425551325847219504501925282012199947834686225770246801353666030075146469275695499044424390475398423700504158154044180028733800154044746648133536737830623670383925046006108348861714435567006327619892239876863209887013290251890513192375749866675256952802329688897844132157098061758362137357387787072005860610663777569670198971946904157425377235056152628515775755249828721767845990597859165193162537676147173896835503209596955703313430433124688537275895468076469102220355973904702901083642275544954262724054693167603475188412046722656788470695566949847884250306735314144182029335732280420629131990311054229665691517003924788583771265625694414774865289407885678238795596912006567817508035434074250123869676396153982762032750080222602796273083162627489526255501643913672882350236497429678928099868244687228703074267962827621792960
c1 = 102325064080381160170299055162846304227217463467232681115953623386548494169967745781550171804781503102663445039561476870208178139548389771866145006535051362059443515034504958703659546162037904784821960707630188600064568878674788077706711506213779443920430038560373854184526850365974450688458342413544179732143225845085164110594063440979455274250021370090572731855665413325275414458572412561502408983107820534723804225765540316307539962199024757378469001612921489902325166003841336027940632451584642359132723894801946906069322200784708303615779699081247051006259449466759863245508473429631466831174013498995506423210088549372249221415401309493511477847517923201080509933268996867995533386571564898914042844521373220497356837599443280354679778455765441375957556266205953496871475611269965949025704864246188576674107448587696941054123618319505271195780178776338475090463487960063464172195337956577785477587755181298859587398321270677790915227557908728226236404532915215698698185501562405374498053670694387354757252731874312411228777004316623425843477845333936913444143768519959591070492639650368662529749434618783626718975406802741753688956961837855306815380844030665696781685152837849982159679122660714556706669865596780528277684800454866433826417980212164051043504955615794706595412705883261111953152250227679858538249797999044336210905975316421254442221408945203647754303635775048438188044803368249944201671941949138202928389951227347433255867504906597772044398973241425387514239164853656233776024571606159378910745571588836981735827902305330330946219857271646498602227088657739442867033212012876837654750348578740516798444734534291467314881324902354425889448102902750077077381896216130734894767553834949561471219923459897244690006643798812989271282475503126962274052192342840870308710338336817452628324667507548265612892611100350882163205858101959976
enc = 122235247669762131006183252122503937958296387791525458429403709404875223067116491817728568224832483391622109986550732469556761300197133827976956875865159629512476600711420561872409721582387803219651736262581445978042694384374119142613277808898398213602093802571586386354257378956087240174787723503606671543195193114158641301908622673736098768829071270132073818245595918660134745516367731595853832524328488074054536278197115937409643221809577554866060292157239061557708159310445977052686561229611117673473208278176118561352693319461471419694590218295911647368543698198762827636021268989705079848502749837879584394379300566277359149621932579222865430374652678738198451655509408564586496375811666876030847654260305392984710580761255795785508407844683687773983669843744274915862335181251050775093896006210092665809300090715190088851654138383362259256212093670748527819287681468901379286722214112321906917311154811516336259463356911326393701445497605365038857575515541024824906818473933597129846235905072394148879079996812146836910199111439031562946495046766063326815863624262541346543552652673629442370320109404700346028639853707278295255350982238521659924641921142615894039995513480511108116053798143154593343124822462519555715118822045
s1=gmpy2.iroot(c1,3)[0]
s2=gmpy2.iroot(c0**3//c1,3)[0]
p=(s1+s2)//2
q=(s1-s2)//2
phi=(p-1)*(q-1)
n=p*q
e=0x10001
d=inverse(e,phi)
key=long_to_bytes(int(2*isqrt(pow(n,3))//3))
c=long_to_bytes(pow(enc,d,n))
print(xor(c,key))

Resign

I didn’t finish it on time because lack the proper Smooth number. However I find this problem can be solved by reduce the smooth level.(Cyclic groups have higher orders)

1
2
3
4
5
6
7
8
9
10
11
12
13
14
15
16
17
18
19
20
21
22
23
24
25
26
27
28
29
30
31
32
33
34
35
36
37
38
39
40
41
from Crypto.Util.number import *
def gen_primes(nbit, imbalance):
p = 2
FACTORS = [p]
while p.bit_length() < nbit - 2 * imbalance:
factor = getPrime(imbalance)
FACTORS.append(factor)
p *= factor
rbit = (nbit - p.bit_length()) // 2

while True:
r, s = [getPrime(rbit) for _ in '01']
_p = p * r * s
if _p.bit_length() < nbit: rbit += 1
if _p.bit_length() > nbit: rbit -= 1
if isPrime(_p + 1):
FACTORS.extend((r, s))
p = _p + 1
break

FACTORS.sort()
return (p, FACTORS)

p,_=gen_primes(1024,20)
q,_=gen_primes(1024,20)
print('p=',p)
print('q=',q)

import gmpy2
s=7984117781193502575412750505430979186228119017807317960994355227205949819092428731236337909197167584395143960813661416647917034357707829764233170814875745583208603309833382309448961632449932606644599794982667065067211545658432155270344026432978482493058391281970539985258874195736716168226015296465896222711449764960924598244484042742120206434449431821943587424974496744540622137023049971061842575042202489321438759754822828568020390315315068482818064779065128579172903182839413115643905215071190495277703316420230587526327805179182224313125252287971253632106014646086776569402554056131078566070017884013630764049336
h=859134015240994359820678247621894875833976723365
p= 122415509565518531443147639848448248409469589947486005320386529550844357405484773578332786457733733732418287234961042780614741190123679692506761189624673309052253155681404430445151991408962587788043621396541174258856184502345401381866169756836931056269731266097189703314853514497934474702757788612726278471587
q= 76506675455644608060963110138362743927973612279961964190480978401417336483425872394063064854906790750016782282678362690623938928815788994891134844315959485830145364283392280519872728172078240496191944338394829808009536643696258457554553352482738348872308968685891720161748887997488378363675678238379325906643
phi=(p-1)*(q-1)
fp=GF(p)
fq=GF(q)
d1=discrete_log(s,fp(h))
d2=discrete_log(s,fq(h))
e=crt([d1,d2],[p-1,q-1])
d=gmpy2.invert(e,phi)
print(e)

Faonsa&Fiercest

Both of two question have same thought. We need make the modulu smooth using fault attack(just a name but interesting)

1
2
3
4
5
6
7
8
9
10
11
12
13
14
15
16
from Crypto.Util.number import *
n=98946348531671552366599636519893607646703047155335246624251536405323524152537202603241932094835105000412311403806982008184571354393081819367329019220712532243268590378962545968974721430598690895928222554884889004911627379371908932211309804472944234919739986668246269664956128234005360667329571534551093537337
MSG = "4lL crypt0sy5t3ms suck5 fr0m faul7 atTaCk5 :P"
m = bytes_to_long(MSG.encode('utf-8'))
e=65537
for i in range(1,len(bin(n)[2:])):
tmp=n^(2**(len(bin(n)[2:])-i))
if isPrime(tmp):
print(i-1)
p=tmp
phi=p-1
d=inverse(e,phi)
sign=pow(m,d,tmp)
print(sign)
se=pow(sign,e,p)-m
print(se)

But these two question all have a same bug, called shallow copy. It’s really interesting. By it,we can make modulu be whatever we want.

1
2
3
4
5
6
7
a=[1,2,3]
b=a
print(a)
b[0]=7
print(a)
#[1, 2, 3]
#[7, 2, 3]

Mino

I did’t finish it. I see someone do it by recursion. It’s perfect but a little hard. Rencently, I see some new solution- and it’s fast.

1
2
3
4
5
6
7
8
9
10
from z3 import *
n=40
V=[z3.BitVec("V{}".format(i),42) for i in range(n)]
con1=[z3.And(1<=V[i],V[i]<=n) for i in range(n)]
con2=[z3.Distinct(V)]
con3=[sum(V[i]*(-2)**i for i in range(n))==0]
sol=Solver()
sol.add(con1+con2+con3)
print(sol.check())
print(sol.model())

Side step

All it takes is a simple idea, use to check s bit by bit

function pow_d’s process will calculate pow(g,bin(s)[:i],p) for any i. So we can use g=pow(2,-bin(s)[:i],p) to check whether the bit of s is equal to 1.

The script may needs to be run multiple times to make sure s is 1023 bits

1
2
3
4
5
6
7
8
9
10
11
12
13
14
15
16
17
18
19
20
21
22
23
24
25
26
27
28
29
30
31
32
33
34
35
36
37
38
from pwn import *
from Crypto.Util.number import *
from tqdm import tqdm
import gmpy2
context(log_level='debug')
io=remote('01.cr.yp.toc.tf',17331)
#io=process('./side.py')
p = 2 ** 1024 - 2 ** 234 - 2 ** 267 - 2 ** 291 - 2 ** 403 - 1
s='1'

def ts(m, p):
m = m % p
return pow(m, (p - 1) // 2, p) == 1

def search():
global s
io.sendlineafter('[Q]uit\n','t')
e=int(s,2)
d=gmpy2.invert(e,(p-1)//2)
g=pow(2,d,p)
io.sendline(str(g))
io.recvuntil('t, r = (')
sign=int(io.recvuntil(',')[:-1])
if sign==0:
s+='1'
else:
s+='0'

for i in tqdm(range(1022)):
search()
print(s)
s=int(s,2)
dd=inverse(s,(p-1)//2)
m=pow(4,dd,p)
io.sendlineafter('[Q]uit\n','t')
sleep(0.01)
io.sendline(str(m))
io.interactive()
  • Post title:Writeup in 2022CryptoCTF
  • Post author:hash_hash
  • Create time:2022-07-20 21:00:40
  • Post link:https://hash-hash.github.io/2022/07/20/Writeup-in-2022CryptoCTF/
  • Copyright Notice:All articles in this blog are licensed under BY-NC-SA unless stating additionally.